Barcha mahsulotlar
TaqdimotlarKurs ishlariMustaqil ishlarDiplom ishlariBlankalarBiznes rejalarElektron kitoblarStatistikaMaqolaPlakatlarLoyihalarIjodiy IshlarAmaliy ishlarDasturlash tillariNamunaviy hujjatlarO'quv qo'llanmalarTarqatma materiallarDars ishlanmalarTestlarReferatlarIxtiro patentiDissertatsiya ishlariLabaratoriya Ishlari
.docx

Ikkinchi tartibli sirtlar
20 000 so’m
.docx

Задачи для 10-х классов. Вариант-1
5 000 so’m
.docx

Математика рус.
5 000 so’m
.docx

10-синф KIMYO Masalalar
5 000 so’m
.docx

Elementar matematika (algebra) fanidan YaN yozma ish variantlari
5 000 so’m
.docx

Taqribiy sonlarning ayirmasi va yig‘indisining xatoliklari.
5 000 so’m
.docx

Matematika fanidan nazorat savollari
5 000 so’m
.docx

Sharning hajmi.
5 000 so’m
.docx

Markaziy burchak va aylanaga ichki chizilgan burchak
5 000 so’m
.docx

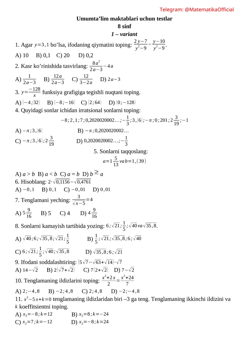
Umumta’lim maktablari uchun testlar
5 000 so’m
.docx

Testlar. 6-sinf. Umumta'lim maktablari uchun
5 000 so’m
.docx

Tekislikdagi Lobachevskiy aksiomalar sistemasi va undan kelib chiqadigan natijalar
40 000 so’m
.doc

Matematika Fanlarni o`qitish nazariyasi va metodikasi
5 200 so’m
.docx

Absolyut siqilish tushunchasi
8 500 so’m
.doc

Matematika Sabaqi
35 000 so’m
.docx

Tekislik va fazoda ikki nuqta orasidagi masofa
20 000 so’m
.docx

Kesmani berilgan nisbatda bo’lish
7 000 so’m
.docx

MAVZU-GEOMETRIK SHAKILLI APPLIKATSIYALAR
3 500 so’m
.docx

KOʻP OʻZGARUVCHILI FUNKSIYA BIRINCHI TARTIBLI DIFFERENSIALNING GEOMETRIK MAʼNOSI
4 000 so’m
.docx

Tanlash kombinatorikasi
4 000 so’m
.docx

FUNKSIYANING TEKIS UZLUKSIZLIGI. KANTOR TEOREMASI.
4 000 so’m
.docx

Matematika
3 000 so’m
.doc

Yuqori tartibli hosilalar
3 398 so’m
.pdf

5-sinf Matematika – Fevral oylik ish rejasi
15 000 so’m
.docx

Differensial tenglamalarni qatorlar yordamida yechish
20 000 so’m
.docx

HAQIQIY SONLAR TO‘PLAMINING NAZARIY ASOSLARI
21 500 so’m
.docx

Integral tenglamalarni yechishning itertsion variatsion usullari
20 000 so’m
.docx

chiziqli bo'lmagan integral tenglamalarni Nyuton usuli bilan yechish
12 000 so’m
.docx

Ko’p argumentli funksiyaning yuqori tartibli hosila va differensiali
12 000 so’m
.doc

Ratsional va ba’zi irratsional funksiyalarni integrallash
12 000 so’m
.docx

Birinchi darajali taqqoslamalar va ularni yechish usullari
19 990 so’m
.doc

Funksiyalar to’plamini turlicha klassifikatsiyalash
24 990 so’m
.pdf

Matematika Darslarida Test Texnologiyasini Qo'llash Va Ularning Afzalliklari
20 000 so’m
.docx

n-tartibli determinantlarni yechish metodlari
50 000 so’m
.pdf

To'plam mаtеmаtiкаning bоshlаng‘ich (ta‘riflanmaydigan) va muhim tushunchаlаridаn biri
3 098 so’m
.docx

Silliq Qavariq Funksiyalari
22 500 so’m
.docx

Kombinatorika asoslari, O'rinmalar, tanlamalar va kombinatsiyalarni hisoblash
15 000 so’m
.doc

Matematika 8-sinf test
4 000 so’m
.doc

Aniq integral
10 000 so’m
.pdf

MATEMATIK ANALIZ “DIFFERENSIAL TENGLAMALAR” o‘quv qo‘llanma
4 999 so’m
.pdf

Amaliy matematika 1
4 999 so’m
.pdf

3-ma’ruza: Ilk yoshdagi guruh bolalariga buyumlarning shakli
4 999 so’m
.doc

Simpleks usul orqali iqtisodiy matematik masalalarni modellashtirish
13 000 so’m
Tayyor mahsulotlardan foydalanish qanday ishlaydi?

Qidiring va tanlang
Katalogdan yoki qidiruv orqali sizga kerakli tayyor mahsulotni toping.

Sotib oling
Xavfsiz to‘lov tizimi orqali mahsulotni sotib oling — narx va shartlar oldindan ko‘rinadi.

Yuklab oling va foydalaning
Mahsulotni darhol yuklab oling va ishlatishni boshlang.
SOFF
SOFF
Kerakli mahsulotni topa olmadingizmi? Buyurtma berishingiz mumkin.
Bizning mutaxassislarimiz sizga yordam berishga tayyor
Buyurtmar berish